Odpowiedz 
 
Ocena wątku:
  • 0 Głosów - 0 Średnio
  • 1
  • 2
  • 3
  • 4
  • 5
Miernik częstotliwości o wysokiej rozdzielczości.
SP9MQH Offline
Początkujący
**

Liczba postów: 60
Dołączył: 07-02-2010
Post: #1
Miernik częstotliwości o wysokiej rozdzielczości.
Witam,

Po zrobieniu wzorca częstotliwości na bazie trimblowskiego GPSDO, zacząłem rozglądać się za miernikiem częstotliwości o dużej rozdzielczości. Typowe układy dla uzyskania dużej rozdzielczości wymagają odpowiednio dużych czasów bramkowania a fabryczne układy oparte o mikroprocesory są bardzo drogie. Podczas rozmowy z Michałem SP2IQW dowiedziałem się że, Marek SP3HSV jest w trakcie opracowywania takiego miernika.

Po rozmowie z Markiem dowiedziałem się co i jak, pozostało czekać na zakończenie przez niego prac nad miernikiem. Kiedy konstrukcja była gotowa nabyłem uruchomioną płytkę miernika oraz opis.

İmage

İmage

Z mojej strony pozostało wykonanie zasilacza, wzmacniacza wej. do 250 MHz, preskalera, dodanie generatora wzorcowego ( 10 MHz ) oraz mechaniki.

Jako wbudowanego generatora częstotliwości użyłem 10MHz OCXO OX-220 Vectrona, wzmacniacz wejściowy kanału A na BFP196W ( plus układ kształtujący na 2xBFT92). Natomiast układ wejściowy kanału B ( możliwość podziału/2…128 ) wykonałem na układzie HMC 363 oraz MC12026 (podział przez /64, takie miałem w szufladzie ). Ten tor pracuje poprawnie do 12,8 GHz.

Ciekawą cechą tego przyrządu jest to, że można zastosować wzorzec (np. OCXO), który nie ma wejścia do dostrajania i ma jakaś niewielką odchyłkę Najważniejsze jest aby był stabilny, bo tę odchyłkę można poprzez menu skorygować i jest to zapamiętane. Jeśli potrzebujemy jeszcze większej dokładności, to można podłączyć zewnętrzny wzorzec 10,0MHz, przyrząd automatycznie przełącza się na ten wzorzec.

Doskonałe parametry miernika, duża rozdzielczość oraz nie duży koszt uruchomionej PCB skłoniły do mnie zamieszczenie tego opisu w celu zachęcenia do jego budowy użytkowników Forum.

Dołączam kilka zdjęć wykonanego miernika oraz pomiarów wykonanych za jego pomocą.

İmage
İmage
İmage
İmage
İmage
İmage
İmage

Pozdrawiam

Marian
(Ten post był ostatnio modyfikowany: 02-05-2018 19:19 przez SP9MQH.)
02-05-2018 19:16
Znajdź wszystkie posty użytkownika Odpowiedz cytując ten post
SP9MQH Offline
Początkujący
**

Liczba postów: 60
Dołączył: 07-02-2010
Post: #2
RE: Miernik częstotliwości o wysokiej rozdzielczości.
Witam,

W załączniku szczegółowy opis konstrukcji Marka SP3HSV.

Pozdrawiam

Marian


.pdf  Freqmetr_instrukcja.pdf (Rozmiar: 686.96 KB / Pobrań: 2277)
13-05-2018 19:39
Znajdź wszystkie posty użytkownika Odpowiedz cytując ten post
SP9BSL Offline
Sławek
*****

Liczba postów: 788
Dołączył: 20-10-2015
Post: #3
RE: Miernik częstotliwości o wysokiej rozdzielczości.
Marianie, a poza instrukcją obsługi można liczyć na schemat urządzenia?

73 Sławek
17-05-2018 15:40
Odwiedź stronę użytkownika Znajdź wszystkie posty użytkownika Odpowiedz cytując ten post
SP9MQH Offline
Początkujący
**

Liczba postów: 60
Dołączył: 07-02-2010
Post: #4
RE: Miernik częstotliwości o wysokiej rozdzielczości.
Witam,

Schematu konstrukcji Marka nie posiadam, dane z opisu wystarczyły mi do zbudowania doskonale pracującego miernika częstotliwości. Schematy części wykonanej przeze mnie mogę udostępnić natomiast o resztę to proszę się skontaktować z Markiem SP3HSV ( dane kont. w pdf-ie ).

Pozdrawiam
Marian
19-05-2018 20:57
Znajdź wszystkie posty użytkownika Odpowiedz cytując ten post
SP9HVW Offline
Józef
***

Liczba postów: 158
Dołączył: 14-06-2010
Post: #5
RE: Miernik częstotliwości o wysokiej rozdzielczości.
Witam
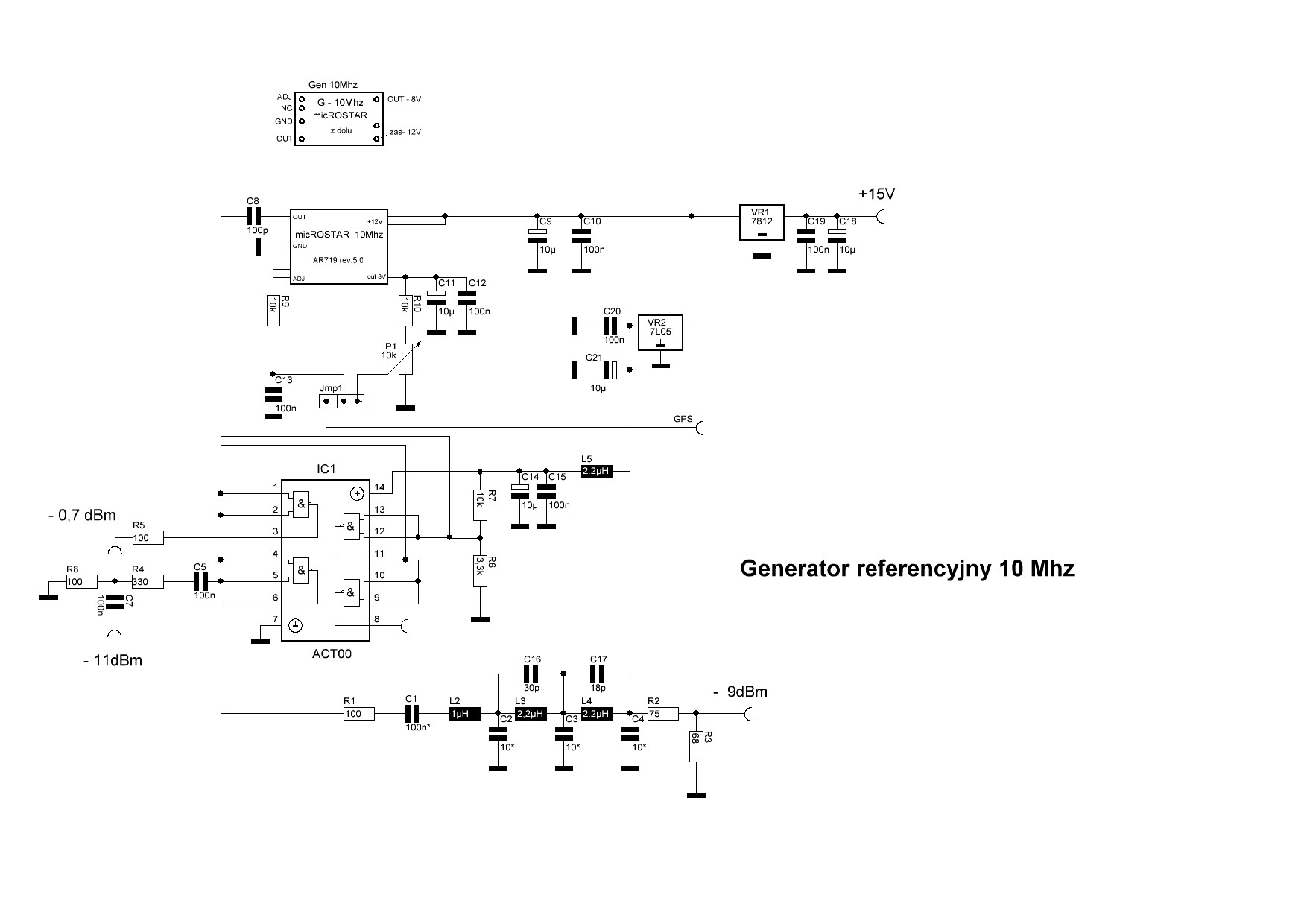
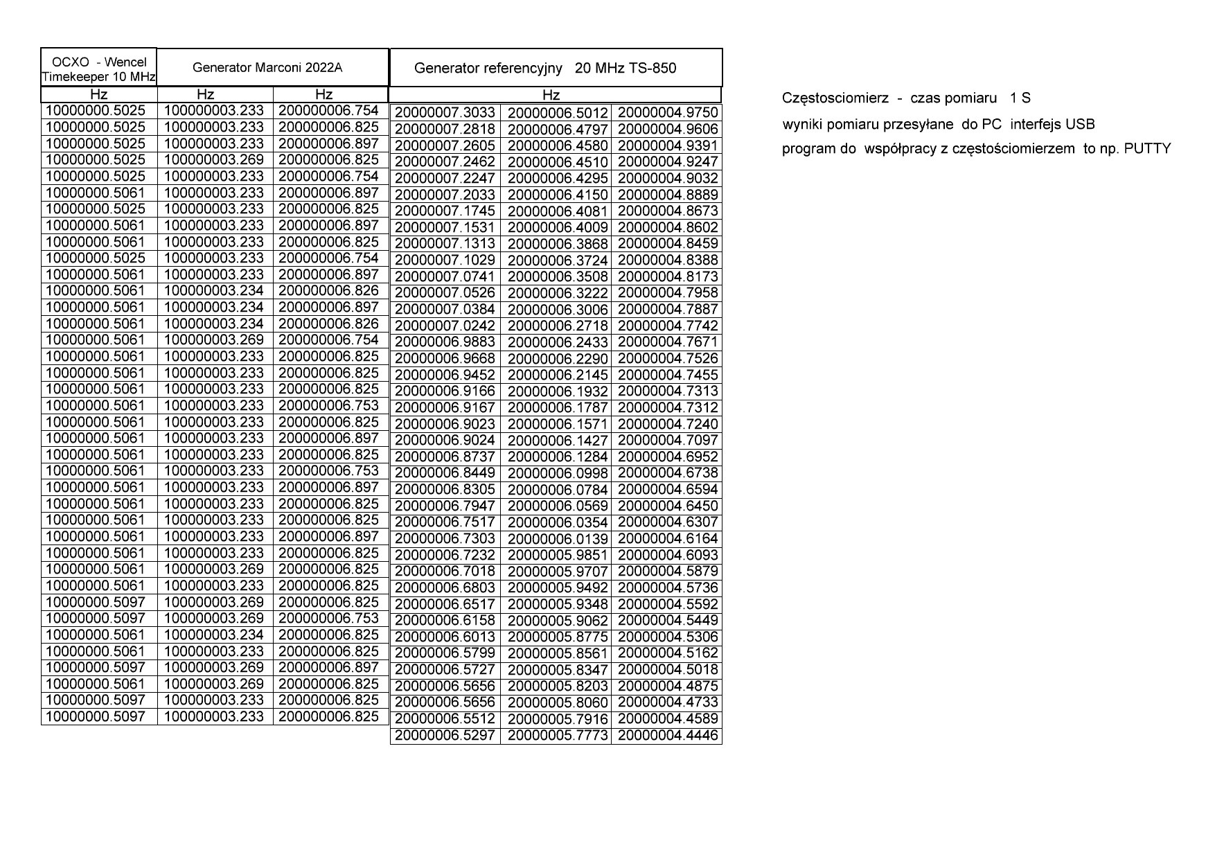
Jestem także posiadaczem modułu od SP3HSV - jest tam bardzo przydatna funkcja
śledzenia stabilności F - przy dużej dokładności i przy małych czasach pomiaru po
podłączeniu do PC poprzez interfejs USB . Generator podstawy czasu 10 MHz stosuje OCXO firmy micRostar. Przykłady zrzutu pomiarów İmage İmage
03-07-2018 20:25
Znajdź wszystkie posty użytkownika Odpowiedz cytując ten post
SQ2EER Offline
Jacek sk
***

Liczba postów: 182
Dołączył: 17-06-2009
Post: #6
RE: Miernik częstotliwości o wysokiej rozdzielczości.
Witam - Józefie czy możesz napisać jaka jest tolerancja elementów użytych na schemacie który pokazałeś.
pozdrawiam Jacek.
P.S. mój generator to OCXO MV89A firmy MORION
(Ten post był ostatnio modyfikowany: 03-07-2018 21:49 przez SQ2EER.)
03-07-2018 21:49
Znajdź wszystkie posty użytkownika Odpowiedz cytując ten post
SP9HVW Offline
Józef
***

Liczba postów: 158
Dołączył: 14-06-2010
Post: #7
RE: Miernik częstotliwości o wysokiej rozdzielczości.
Witaj Jacek, rezystory które pracują jako elementy OCXO (napięcie odniesienia) to rezystory SMM 0204 - 0,5% - ( temperature coefficient 25ppm/K) . W miejsce potencjometru w końcowej fazie kalibracji przewiduje tez rezystory stałe ( w częstościomierzu jest w trybie "setup" możliwość wprowadzenia korekcji wewnętrznego źródła częstotliwości referencyjnej), Rezystory które współpracują w układzie formowania IC1 to typowe smd 1% - 0805. Najlepiej podłączyć sygnał z wzorca korygowanego GPS wtedy dokładność będzie optymalna. Uważam że ta metoda pomiaru F - którą zaproponował kolega SP3HSV przy takich parametrach i porównując do ceny urządzeń profesjonalnych to nie ma porównania. OCXO MV89A
ma bardzo dobre parametry i do tego częstościomierza jak znalazł. Mam jeszcze w fazie prób układy wejścia częstościomierza jak będę miał zrobione to zamieszczę.
pozdrawiam Józef.
04-07-2018 23:02
Znajdź wszystkie posty użytkownika Odpowiedz cytując ten post
SQ2EER Offline
Jacek sk
***

Liczba postów: 182
Dołączył: 17-06-2009
Post: #8
RE: Miernik częstotliwości o wysokiej rozdzielczości.
Witam -Józefie dziękuje za odpowiedź, czekam na wyniki.
pozdrawiam Jacek.
04-07-2018 23:25
Znajdź wszystkie posty użytkownika Odpowiedz cytując ten post
Odpowiedz 


Skocz do:


Użytkownicy przeglądający ten wątek: 1 gości