Odpowiedz 
 
Ocena wątku:
  • 0 Głosów - 0 Średnio
  • 1
  • 2
  • 3
  • 4
  • 5
Robię sobie ATU
SP6FRE Offline
Leszek
****

Liczba postów: 737
Dołączył: 20-09-2009
Post: #19
RE: Robię sobie ATU
Witam!

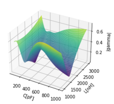
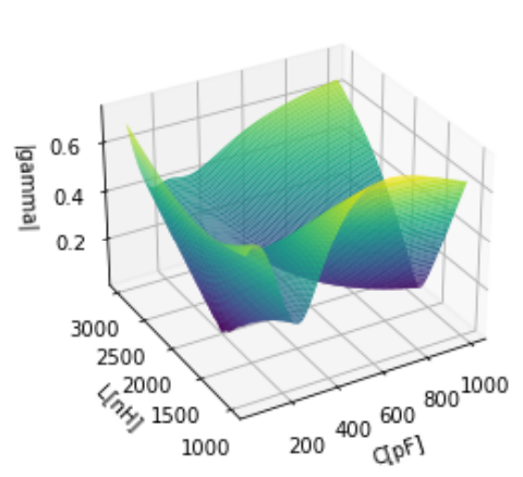
Zrobiłem kolejne wykresy, tym razem dla |gamma|. Na podstawie tej wielkości wylicza się właśnie SWR=(1+|gamma|)/(1-|gamma|)
Gamma przyjmuje wartości od -1 (zwarcie) przez 0 (dopasowanie) do +1 (rozwarcie) tak więc jest to w pewnym sensie odwrotność SWR właśnie w podanej relacji.

Gamma oblicza się jako (Zl-Ro)/(Zl+Ro) i dla wcześniejszych obliczeń można powiedzieć, że jest to wielkość zespolona o parametrach:

re(gamma)=((R-R0)*(R+R0)+X^2)/((R+R0)^2+X^2)
im(gamma)=2RX/((R+R0)^2+X^2)
|gamma|=sqrt(re(gamma)^2+im(gamma)^2)

İmage İmage İmage

İmage İmage İmage

Wykres |gamma| pokazuje wyraźne minimum (dopasowanie) w rejonie wcześniej podanych wartości dopasowania L i C (ok.1.969uH i 196.9pF).
Ale, szczególnie na ostatnim rysunku (widok z góry) widać, że |gamma| osiąga dość małe wartości również dla wartości L i C dalekich od dopasowania. I tu kryje się pułapka dla rozwiązania analitycznego bo dla obu przypadków wkład do wartości gamma mają inne składniki. Dla prawdziwego dopasowania głównym składnikiem Zl jest część rzeczywista z niewielkim lub zerowym wkładzie części urojonej o tyle w części, w okolicach 1000pF i 1.5uH część rzeczywista jest bliska zeru a część urojona bliska 50 omów. Metoda gradientu również mogłaby tu mieć problemy bo taki algorytm słabo radzi sobie w długich "dolinach" zmienności funkcji jak w takim przypadku. Źle dobrany punkt startowy lub niewłaściwy krok mógłby całkowicie pominąć właściwe rozwiązanie. Prawdopodobnie, uczulenie algorytmu gradientu na proporcje części rzeczywistej i urojonej obliczeń mogłoby znacząco poprawić jego skuteczność.

Na szczęście w ATU pomiar oparty jest na fali padającej i odbitej a więc ściśle związanych z mocami obu fal więc nie ma ryzyka pomyłki.

L.J

P.s.
Załączam ostatnią, nieco skorygowaną wersję oprogramowania


.hex  ant_tun012.hex (Rozmiar: 39.34 KB / Pobrań: 512)
27-08-2021 19:15
Odwiedź stronę użytkownika Znajdź wszystkie posty użytkownika Odpowiedz cytując ten post
Odpowiedz 


Wiadomości w tym wątku
Robię sobie ATU - SP6FRE - 12-08-2021, 21:00
RE: Robię sobie ATU - SP6FRE - 14-08-2021, 23:39
RE: Robię sobie ATU - SQ6ILB - 15-08-2021, 21:59
RE: Robię sobie ATU - SP6FRE - 16-08-2021, 9:17
RE: Robię sobie ATU - SQ5KVS - 16-08-2021, 16:26
RE: Robię sobie ATU - SP6FRE - 16-08-2021, 20:37
RE: Robię sobie ATU - SQ6ILB - 16-08-2021, 21:27
RE: Robię sobie ATU - SP6FRE - 17-08-2021, 9:11
RE: Robię sobie ATU - SQ6ILB - 17-08-2021, 13:12
RE: Robię sobie ATU - SP6FRE - 17-08-2021, 16:31
RE: Robię sobie ATU - SP6FRE - 20-08-2021, 13:36
RE: Robię sobie ATU - SQ2EER - 20-08-2021, 17:05
RE: Robię sobie ATU - SP6FRE - 22-08-2021, 17:22
RE: Robię sobie ATU - SP6FRE - 26-08-2021, 10:29
RE: Robię sobie ATU - SQ5KVS - 26-08-2021, 11:43
RE: Robię sobie ATU - SP6LUN - 27-08-2021, 10:35
RE: Robię sobie ATU - SP6FRE - 27-08-2021, 13:37
RE: Robię sobie ATU - SQ5KVS - 27-08-2021, 16:00
RE: Robię sobie ATU - SP6FRE - 27-08-2021 19:15
RE: Robię sobie ATU - SP6FRE - 01-09-2021, 9:50
RE: Robię sobie ATU - SP9BSL - 01-09-2021, 10:55
RE: Robię sobie ATU - SP6FRE - 01-09-2021, 11:04
RE: Robię sobie ATU - SP6FRE - 07-09-2021, 20:33
RE: Robię sobie ATU - SP6FRE - 17-09-2021, 21:22

Skocz do:


Użytkownicy przeglądający ten wątek: 1 gości